Campo Electrico.

Una carga eléctrica puntual q (carga de prueba) sufre, en presencia de otra carga q1 (carga fuente), una fuerza electrostática. Si eliminamos la carga de prueba, podemos pensar que el espacio que rodea a la carga fuente ha sufrido algún tipo de perturbación, ya que una carga de prueba situada en ese espacio sufrirá una fuerza.
La perturbación que crea en torno a ella la carga fuente se representa mediante un vector denominado campo eléctrico. La dirección y sentido del vector campo eléctrico en un punto vienen dados por la dirección y sentido de la fuerza que experimentaría una carga positiva colocada en ese punto: si la carga fuente es positiva, el campo eléctrico generado será un vector dirigido hacia afuera (a) y si es negativa, el campo estará dirigido hacia la carga (b):
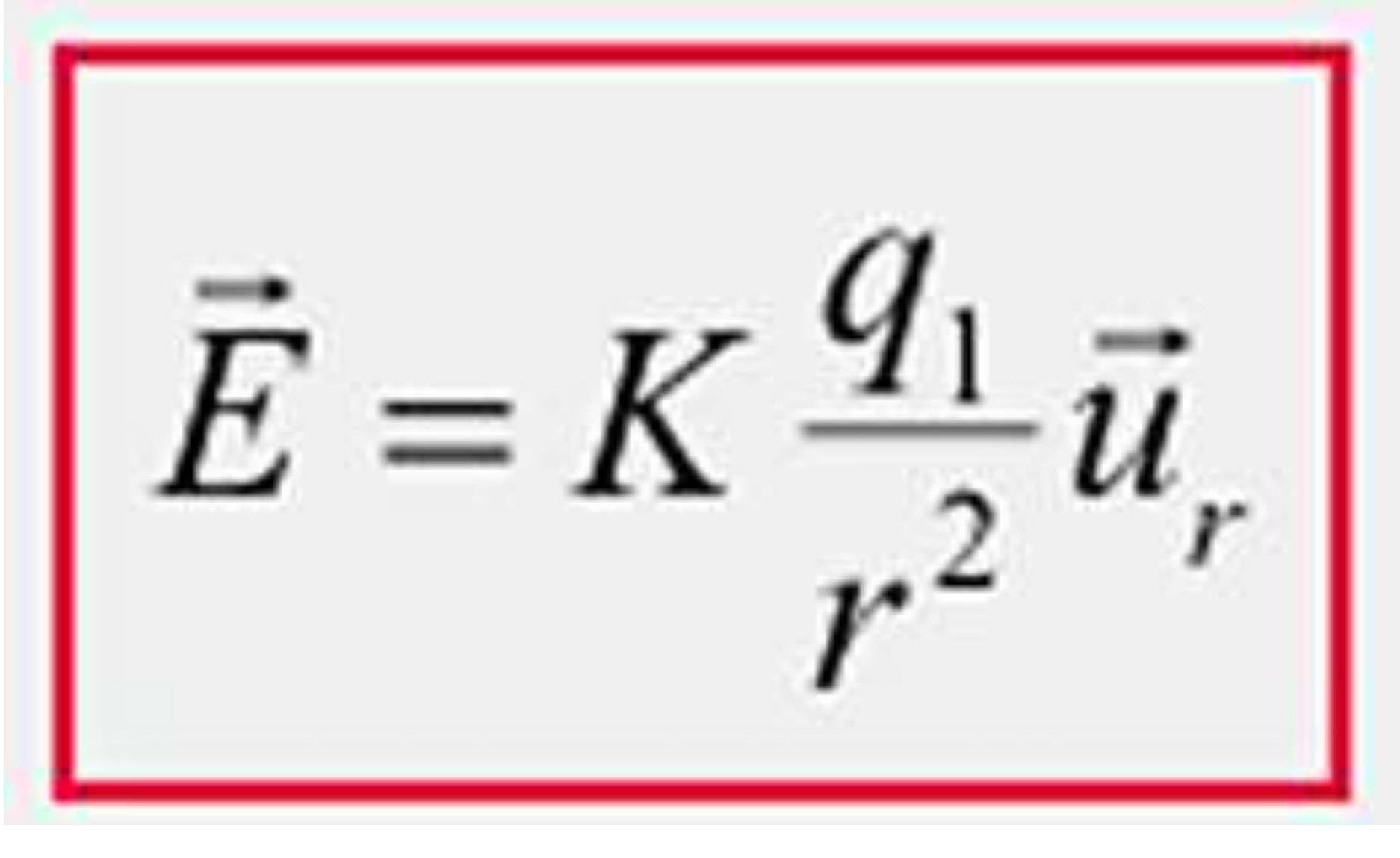
El campo eléctrico E creado por la carga puntual q1 en un punto cualquiera P se define como:

donde q1 es la carga creadora del campo (carga fuente), K es la constante electrostática, r es la distancia desde la carga fuente al punto P y ur es un vector unitario que va desde la carga fuente hacia el punto donde se calcula el campo eléctrico (P). El campo eléctrico depende únicamente de la carga fuente (carga creadora del campo) y en el Sistema Internacional se mide en N/C o V/m.
Líneas de campo
El concepto de líneas de campo (o líneas de fuerza) fue introducido por Michael Faraday (1791-1867). Son líneas imaginarias que ayudan a visualizar cómo va variando la dirección del campo eléctrico al pasar de un punto a otro del espacio. Indican las trayectorias que seguiría la unidad de carga positiva si se la abandona libremente, por lo que las líneas de campo salen de las cargas positivas y llegan a las cargas negativas:

Líneas de campo causadas por una carga positiva y una negativa.
Las propiedades de las líneas de campo se pueden resumir en:
- El vector campo eléctrico es tangente a las líneas de campo en cada punto.
- Las líneas de campo eléctrico son abiertas; salen siempre de las cargas positivas o del infinito y terminan en el infinito o en las cargas negativas.
- El número de líneas que salen de una carga positiva o entran en una carga negativa es proporcional a dicha carga.
- La densidad de líneas de campo en un punto es proporcional al valor del campo eléctrico en dicho punto.
- Las líneas de campo no pueden cortarse. De lo contrario en el punto de corte existirían dos vectores campo eléctrico distintos.
- A grandes distancias de un sistema de cargas, las líneas están igualmente espaciadas y son radiales, comportándose el sistema como una carga puntual.
